Boost
  C++ Libraries
  
  ...one of the most highly
  regarded and expertly designed C++ library projects in the
  world.
 — Herb Sutter and Andrei
  Alexandrescu, C++
  Coding Standards
        Measurements related to the performance of the BOOST_METAPARSE_STRING macro.
      
128 strings with increasing length. Measured on a Linux-3.13.0-24-generic-x86_64-with-Ubuntu-14.04-trusty host with 16 GB memory. Compiler used: gcc 4.8.5.
          
        
Increasing number of strings with 64 length. Measured on a Linux-3.13.0-24-generic-x86_64-with-Ubuntu-14.04-trusty host with 16 GB memory. Compiler used: gcc 4.8.5.
          
        
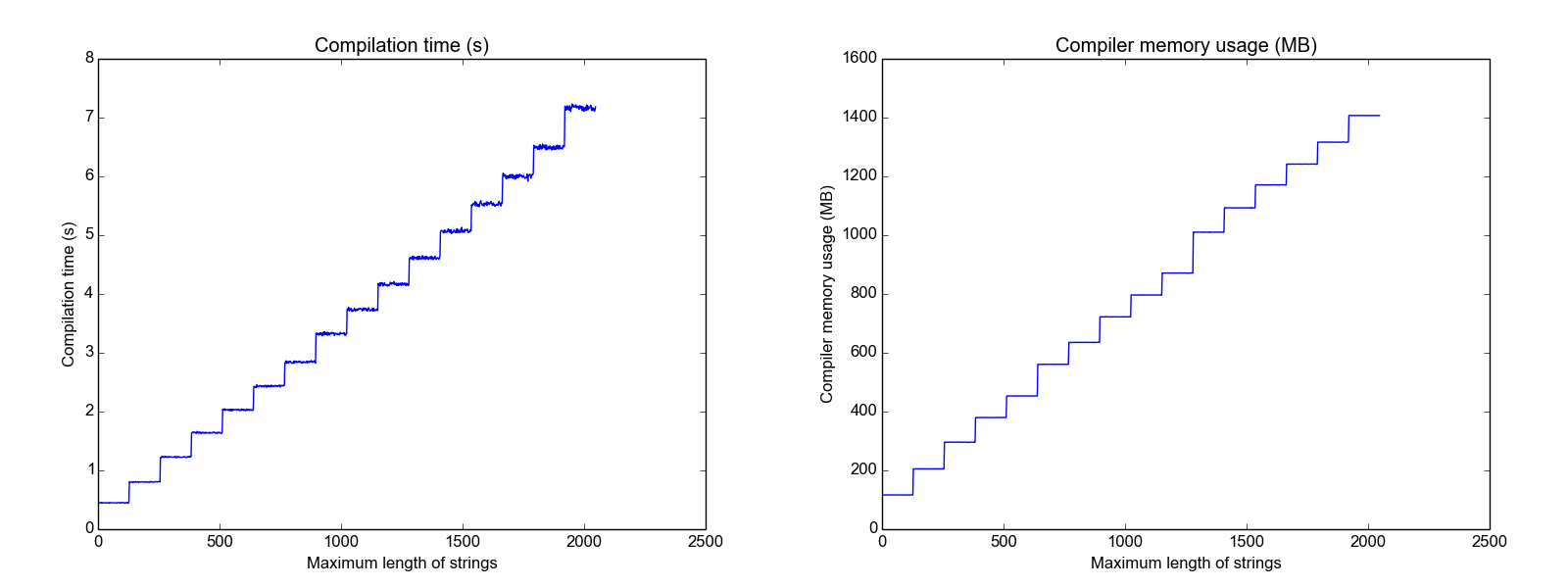
100 one character long strings with increasing maximum length. Measured on a Linux-3.13.0-24-generic-x86_64-with-Ubuntu-14.04-trusty host with 16 GB memory. Compiler used: gcc 4.8.5.
          
        
        Parsers work at compile-time, thus their performance affects compilation
        speed. This section shows measurements of compilation time using Metaparse.
        The measurements were done on a Linux laptop with an 1.6 GHz Atom processor
        and 1 GB memory. The measurements were done using GCC 4.6.1 with -std=c++0x and no optimisation. Compilation speed
        was measured using the time
        utility.
      
        To measure a non-trivial parser, the printf
        example program were used for measurements. Here is a list of the printf calls and their compilation speed
        (user output of time):
      
Table 24.1. Printf compilation speed
| 
                 
                  type-safe   | 
                 Compilation speed (s)  | 
|---|---|
| 
                 
                  No compile-time parsing (just the includes and an empty   | 
                 3.51  | 
| 
                 
                    | 
                 4.95  | 
| 
                 
                    | 
                 5.26  | 
| 
                 
                    | 
                 5.50  | 
| 
                 
                    | 
                 5.82  | 
| 
                 
                    | 
                 6.07  | 
Further measurements can be found in the following paper:
        Zoltán Porkoláb, Ábel Sinkovics: 
 Domain-specific
        Language Integration with Compile-time Parser Generator Library
        
 In Eelco Visser, Jaakko Järvi, editors, Proceedings of the ninth
        international conference on Generative programming and component engineering
        (GPCE 2010). ACM, October 2010, pp. 137-146.